您好,歡迎光(guāng)臨中科(kē)瑞泰!

免費咨詢電話(huà):
400-699-0631

首頁 > 常用試劑 > 生(shēng)化試劑 > 酶和輔酶

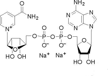
NAD 氧化型輔酶I

NAD 氧化型輔酶I

産品編号:004626-1g

産品規格:1g

相(xiàng)關規格:
數量
價格 ¥180

NAD

氧化型輔酶I

β-Nicotinamide adenine dinucleotide;β-DPN, β-NAD, Coenzyme 1  

C21H27N7O14P2  MW  663.4  CAS:53-84-9

Storage:-20℃

Appearance………….white power

Purity………………….grade II,~98%

pH value in water…….3.0 (50 mg/ ml)

250mg          60元          

500mg         100元

1g               180元






 
隻有購(gòu)買過該商品的用戶才能進行評價。[發表評價]